Name Size Creator Creation Date Labels Comment  
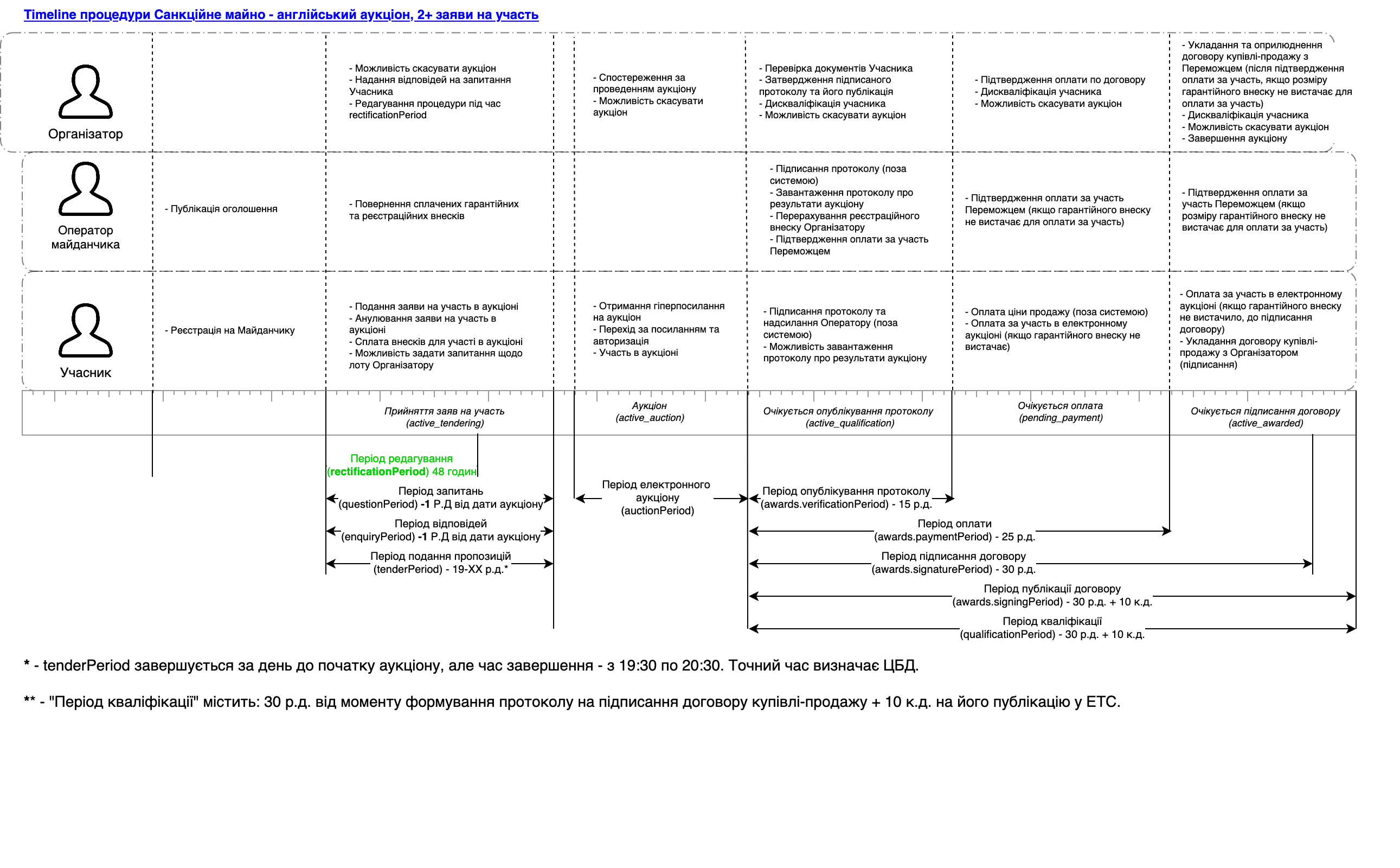
PNG File Timeline процедури santionedAssets-english ЦБД-3.png 156 kB Mykyta Sukharevskyi Feb 05, 2026 16:58
  • No labels
Timeline процедури santionedAssets-english ЦБД-3 exported to image  
File Timeline процедури santionedAssets-english ЦБД-3 97 kB Mykyta Sukharevskyi Feb 05, 2026 16:58 draw.io diagram
Download All